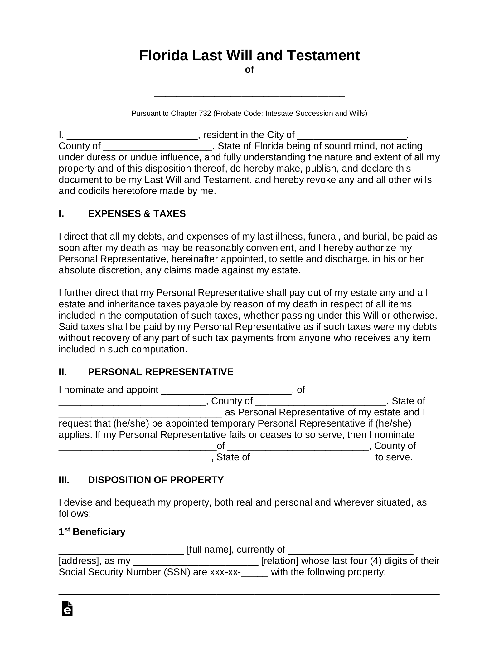
Planning for the future is important, especially when it comes to your family’s well-being. Creating a will is a crucial step in ensuring your wishes are carried out. If you’re in Florida and looking for a free printable will template, you’re in the right place!
Writing a will can seem daunting, but with the right resources, it doesn’t have to be. A Free Printable Florida Will Template can help you get started on outlining your assets, beneficiaries, and any other important details you want to include in your will.
Free Printable Florida Will Template
Free Printable Florida Will Template: What to Include
When using a free printable will template, make sure to include your personal information, such as your full name, address, and date of birth. You’ll also want to designate beneficiaries for your assets, specify who will be your executor, and outline any specific wishes you have for your estate.
It’s essential to review and update your will regularly, especially after major life events like getting married, having children, or acquiring new assets. By keeping your will up-to-date, you can ensure that your wishes are accurately reflected and that your loved ones are taken care of.
Don’t wait until it’s too late to create a will. With a Free Printable Florida Will Template, you can start planning for the future today. Take the first step towards securing your family’s financial future and peace of mind by drafting your will with this easy-to-use template.
Get started on your will today with a Free Printable Florida Will Template. By taking this important step, you can rest easy knowing that your wishes will be honored and your loved ones will be provided for. Don’t wait, start planning for the future now!
Free Florida Last Will And Testament Form CocoSign
Free Florida Last Will And Testament Form CocoSign
Free Florida Living Will Form Template PDF EForms
Florida Last Will And Testament Templates Free Word PDF ODT
Free Florida Last Will And Testament Template PDF Word EForms





